Divergent Maths
Understanding divergent series, divergent products and divergent integrals to determine their finite sums or values. Maths beyond algebra.
Menu
Skip to content
Home
Blog
Divergent Series
Divergent Series of Integers
Aperiodic Monotonic
Aperiodic Alternate
Periodic Monotonic
Periodic Alternate
Near-periodic Monotonic
Near-periodic Alternate
Repeating Monotonic
Repeating Alternate
Divergent Series of Rational Numbers
Aperiodic Monotonic
Aperiodic Alternate
Divergent Series of Real Numbers
Aperiodic Monotonic
Aperiodic Alternate
Trigonometric Divergent Series
Aperiodic Monotonic
Aperiodic Alternate
Divergent Series of special Functions
Monotonic Series of Bernoulli Numbers
Alternate Series of Bernoulli Numbers
Monotonic Series of zeta Function
Alternate Series of zeta Function
Monotonic Series of eta Function
Alternate Series of eta Function
Monotonic Series of Number Theoretic Functions
Alternate Series of Number Theoretic Functions
Characteristic Series
Aperiodic Monotonic
Aperiodic Alternate
Periodic Monotonic
Periodic Alternate
Near-periodic Monotonic
Near-periodic Alternate
Taxonomy
Types of Proof
Divergent Products
Divergent Products of Integers
Divergent Products of Rational Numbers
Divergent Products of Real Numbers
Divergent Products of Negative Integers
Divergent Products over Prime Numbers
Divergent Products over non-trivial zeros of the Riemann zeta function
Divergent Products equal to π
Divergent Integrals
Convergent Integrals
Generating Functions
Monotonic Ordinary Generating Functions
Alternating Ordinary Generating Functions
Monotonic Exponential Generating Functions
Alternating Exponential Generating Functions
q-Limits
Singularities
Constants
Toolbox
Contact
About
Blog
10th Mar 2024
10th Mar 2024
divergentmaths
Euler’s truncated Reflection Formula
10th Mar 2024
10th Mar 2024
divergentmaths
Divergent Products of Integers pages updated
12th Dec 2021
13th Dec 2021
divergentmaths
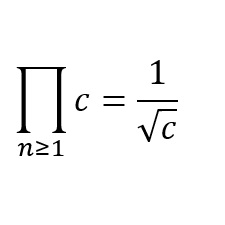
Divergent product of the positive constant c
12th Dec 2021
12th Dec 2021
divergentmaths
Welcome
Subscribe
Subscribed
Divergent Maths
Sign me up
Already have a WordPress.com account?
Log in now.
Divergent Maths
Subscribe
Subscribed
Sign up
Log in
Report this content
View site in Reader
Manage subscriptions
Collapse this bar